
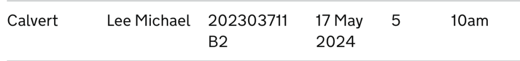
In a transparency data list updated earlier today (Friday 3rd May, 2024) by His Majesty’s Courts and Tribunals Service it was confirmed that a hearing of the second appeal against conviction of Lee Calvert is listed for 17th May, 2024 at the Royal Courts of Justice in London.
The case of the Bradford man, now aged 33, was referred to the Court of Appeal by the Criminal Cases Review Commission (CCRC) on 25th October, 2023.
He was jailed in 2014 for his part in the murder of Barry Selby, 50, at his home in the East Bowling area of Bradford eight months earlier. The victim was shot in the leg and had sulphuric acid thrown on large areas of both sides of his body in what was believed to be a punishment attack. He later died in hospital from organ failure caused by the effects of the corrosive substance.
Calvert, who lived on the Holme Wood estate at the time of his conviction, was found guilty at Bradford Crown Court, in June, 2014, after a six week trial, alongside Joseph Lowther, 22, also from Holme Wood; Robert Woodhead, 28, who lived in Tyersal and Andrew Feather Jnr, 23, another Holme Wood resident.
The first three were said to be the attackers in Mr Selby’s bedroom and the latter the secondary getaway driver.
He was sentenced to life imprisonment with a minimum term of 36 years, which was later reduced to 32 years on appeal.
Calvert, who has protested his innocence from the moment he was arrested by armed officers from West Yorkshire Police on the day after the attack on Mr Selby, shouted ‘Where’s the justice?’ as he was taken down the court stairs to begin his prison sentence.
Following a lengthy investigation, the CCRC decided to refer the case back to the Court of Appeal for a second appeal. They say the basis of the referral is ‘fresh evidence’. Their investigation is understood to have involved a police force other than West Yorkshire.
The first appeal, before three senior judges (one of whom, Dame Sue Carr, is now Lady Chief Justice) and at which the author of this article, Neil Wilby, was present in the press box at the RCJ, took place in June, 2016. The appeals of all four convicted men were dismissed in a reserved judgment handed down the following month (read here).
A spokesperson for Charter Solicitors, a leading Bradford criminal defence firm whom represent Lee Calvert in the appeal process, said after the CCRC referral:
“I am able to confirm that we are delighted at this turn of events.
“However, given that the matter is still to be heard by The Court of Appeal, you will appreciate that we are unable to comment further at this time.”
The Calvert family have campaigned on his behalf since the moment he was sentenced in 2014. Utterly distraught at the jury verdict and absolutely adamant that he had no involvement in the murder of Barry Selby.
His mother, Karen Calvert, and sister, Kelly Calvert, continued and, indeed, intensified, the innocence campaign, despite losing the first appeal against his conviction in 2016.
Kelly, a determined and resourceful activist in her brother’s cause, told a local newspaper in 2016:
“He was convicted from an identity parade months after the murder. He had to wear a balaclava and he was convicted because someone said they recognised his eyes.
“We also have fresh evidence which was not used at the original trial and could not be used at appeal. We are going to keep on fighting and will take it further to the European Courts if necessary.”
The Calvert family believe that the court date later this month may, possibly, take the form of a case management hearing, given what is in issue, before, hopefully, the full hearing of the second appeal later in the year.
Follow Neil Wilby on Twitter (here) and Neil Wilby Media on Facebook (here) for signposts to any updates.
Page last updated: Friday 3rd May, 2024 at 1845 hours
Thank you for reading and a polite request: If you feel this article is of value and in the public interest, and wish to make a contribution to the running costs of this website, it would be very much appreciated. Donations can made securely (and anonymously if required), via Buy Me A Coffee at this link or via PayPal at this link.
Corrections: Please let me know if there is a mistake in this article. I will endeavour to correct it as soon as possible.
Picture credit: NWM
Right of reply: If you are mentioned in this article and disagree with it, please let me have your comments. Provided your response is not defamatory it will be added to the article.
© Neil Wilby 2015-2024. Unauthorised use, or reproduction, of the material contained in this article, without permission from the author, is strictly prohibited. Extracts from, and links to, the article (or blog) may be used, provided that credit is given to Neil Wilby Media, with appropriate and specific direction to the original content.
Leave a comment